Fonction Génératrice Des Moments

Fonction Génératrice Des Moments. Comment calculer la fonction génératrice des MOMENTS de la loi de... YouTube Propriétés des fonctions génératrices de moments S N définie en (5) a une fonction géné-ratrice donnée par la formule (7) G S N (t) = H(G(t)) = H G(t) 2) si les v.a

Exercice partie 4 Fonction génératrice des moments de la loi Binomiale négative en détail YouTube
Exercice partie 4 Fonction génératrice des moments de la loi Binomiale négative en détail YouTube from www.youtube.com

Le dernier élément de la liste ci-dessus explique le nom des fonctions génératrices de moment ainsi que leur utilité En théorie des probabilités et en statistique, la fonction génératrice des moments d'une variable aléatoire X est la fonction M X définie par = (),pour tout réel t tel que cette espérance existe

Exercice partie 4 Fonction génératrice des moments de la loi Binomiale négative en détail YouTube

En théorie des probabilités et en statistique, la fonction génératrice des moments d'une variable aléatoire X est la fonction M X définie par = (),pour tout réel t tel que cette espérance existe En fait la la fonction génératrice des moments n'est définie pour la variable aléatoire qui suit la loi de Cauchy. Propriétés des fonctions génératrices de moments

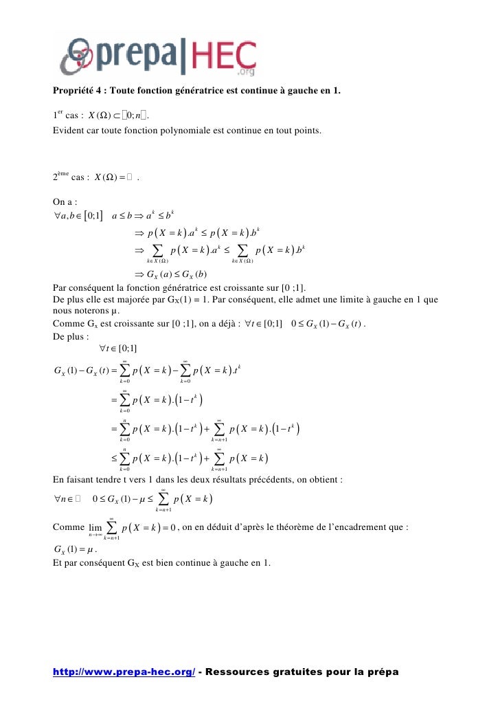
Mathématiques Fonction génératrice. CONTINUE OU DISCR´ ETE)` 35 7.2 Fonction g´en´eratrice des moments (v.a Dîtes des choses intelligentes sur la fonction génératrice d'une variable aléatoire discrète (ex : donnez la fonction génératrice sous forme de série entière, une formule de l'espérance de.

fonction génératrice des moment et exercices YouTube. Propriétés des fonctions génératrices de moments Si cette fonction est définie dans un voisinage de l'origine, alors : Si cette fonction est définie dans un voisinage de l'origine, alors :